Sáng ngày 9/6, hơn 106.000 thí sinh Hà Nội bước vào môn thi cuối cùng trong kỳ thi tuyển sinh vào lớp 10 THPT công lập năm 2024. Dưới đây là gợi ý đáp án môn Toán để phụ huynh và học sinh tham khảo.
Theo công bố từ Sở GDĐT Hà Nội, đề thi môn Toán năm nay đảm bảo 4 cấp độ nhận thức: nhận biết, thông hiểu, vận dụng và vận dụng cấp độ cao. Đề thi gồm các câu hỏi theo yêu cầu chuẩn kiến thức, kỹ năng thuộc chương trình THCS hiện hành của Bộ GDĐT, chủ yếu nằm trong chương trình lớp 9 THCS.
Do vậy đề thi môn Toán vào lớp 10 ở Hà Nội năm 2024 cũng được đánh giá phù hợp, không gây khó cho thí sinh. Sau khi kết thúc bài thi môn Toán, thí sinh sẽ được nghỉ buổi chiều và tiếp tục bước vào bài thi chuyên và song bằng trong 2 ngày 10 và 11/6. Dự kiến chậm nhất ngày 2/7 sẽ công bố điểm thi.
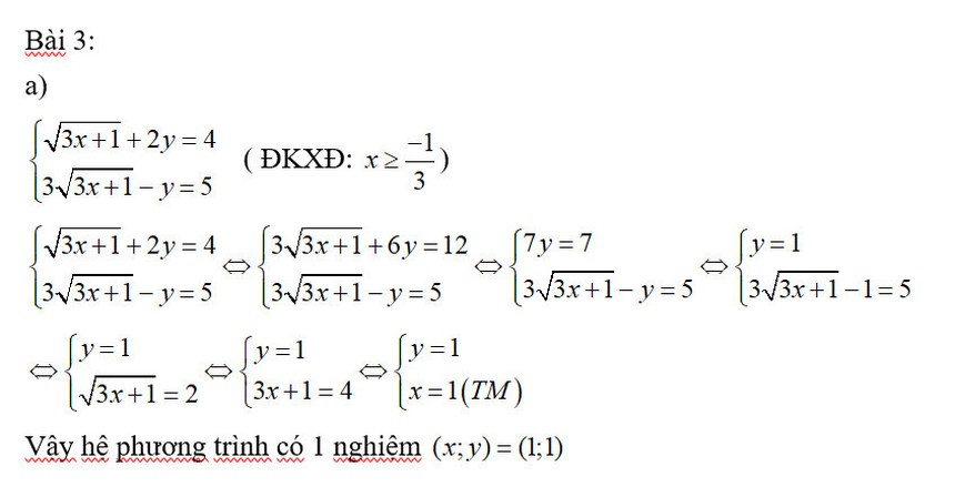
Dưới đây là gợi ý đáp án đề thi môn toán do báo Thể thao & Văn hóa - TTXVN cập nhật:

Đề thi môn toán vào 10 Hà Nội năm 2024







