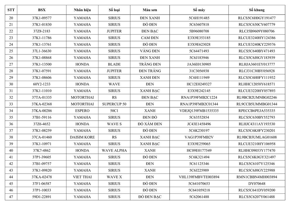
Thông qua công tác tuần tra, kiểm soát và xử lý vi phạm trong lĩnh vực trật tự an toàn giao thông, Tổ Cảnh sát giao thông địa bàn Kỳ Sơn – Đội Cảnh sát giao thông đường bộ số 2, Phòng Cảnh sát giao thông – Công an tỉnh Nghệ An đã phát hiện, lập biên bản và ra quyết định tạm giữ 128 xe mô tô, xe gắn máy và xe máy điện vi phạm hành chính (có danh sách kèm theo).
Đến nay, đã quá thời hạn tạm giữ theo quy định nhưng người vi phạm, chủ phương tiện và người đại diện hợp pháp vẫn chưa đến để xử lý, giải quyết.
Căn cứ Điều 126 Luật Xử lý vi phạm hành chính năm 2012 (được sửa đổi, bổ sung năm 2025) về việc xử lý tang vật, phương tiện vi phạm hành chính bị tạm giữ, Phòng Cảnh sát giao thông – Công an tỉnh Nghệ An kính đề nghị:
• C01, C02, C08 – Bộ Công an;
• PC08 Công an các tỉnh, thành phố trực thuộc Trung ương;
• Phòng PC01, PC02 Công an tỉnh Nghệ An
…phối hợp rà soát số phương tiện nêu trên xem có thuộc danh sách vật chứng của vụ án nào không. Trường hợp có liên quan, đề nghị gửi văn bản xác nhận về:
📍 Tổ Cảnh sát giao thông địa bàn Kỳ Sơn –
Đội Cảnh sát giao thông đường bộ số 2,
Phòng Cảnh sát giao thông – Công an tỉnh Nghệ An
📌 Địa chỉ: Số 11, xóm 5, xã Mường Xén, tỉnh Nghệ An
📞 Điện thoại: 0942.662.256
Đồng thời, Phòng Cảnh sát giao thông – Công an tỉnh Nghệ An thông báo trên Báo điện tử Thể thao và Văn hóa cùng các phương tiện thông tin đại chúng, yêu cầu chủ sở hữu phương tiện đến làm việc tại địa chỉ nêu trên để phối hợp giải quyết.
⏳ Trong thời hạn 30 ngày kể từ ngày ra thông báo, nếu chủ phương tiện, người vi phạm hoặc người đại diện hợp pháp không đến làm việc, Phòng Cảnh sát giao thông – Công an tỉnh Nghệ An sẽ tiến hành xử lý theo đúng quy định của pháp luật.
Thông báo này được đăng tải công khai trên các phương tiện thông tin đại chúng và niêm yết tại trụ sở đơn vị.




